• Предмет: Математика
  • Автор: Аноним
  • Вопрос задан 8 лет назад

Помогите пожалуйста решить [за спам бан]

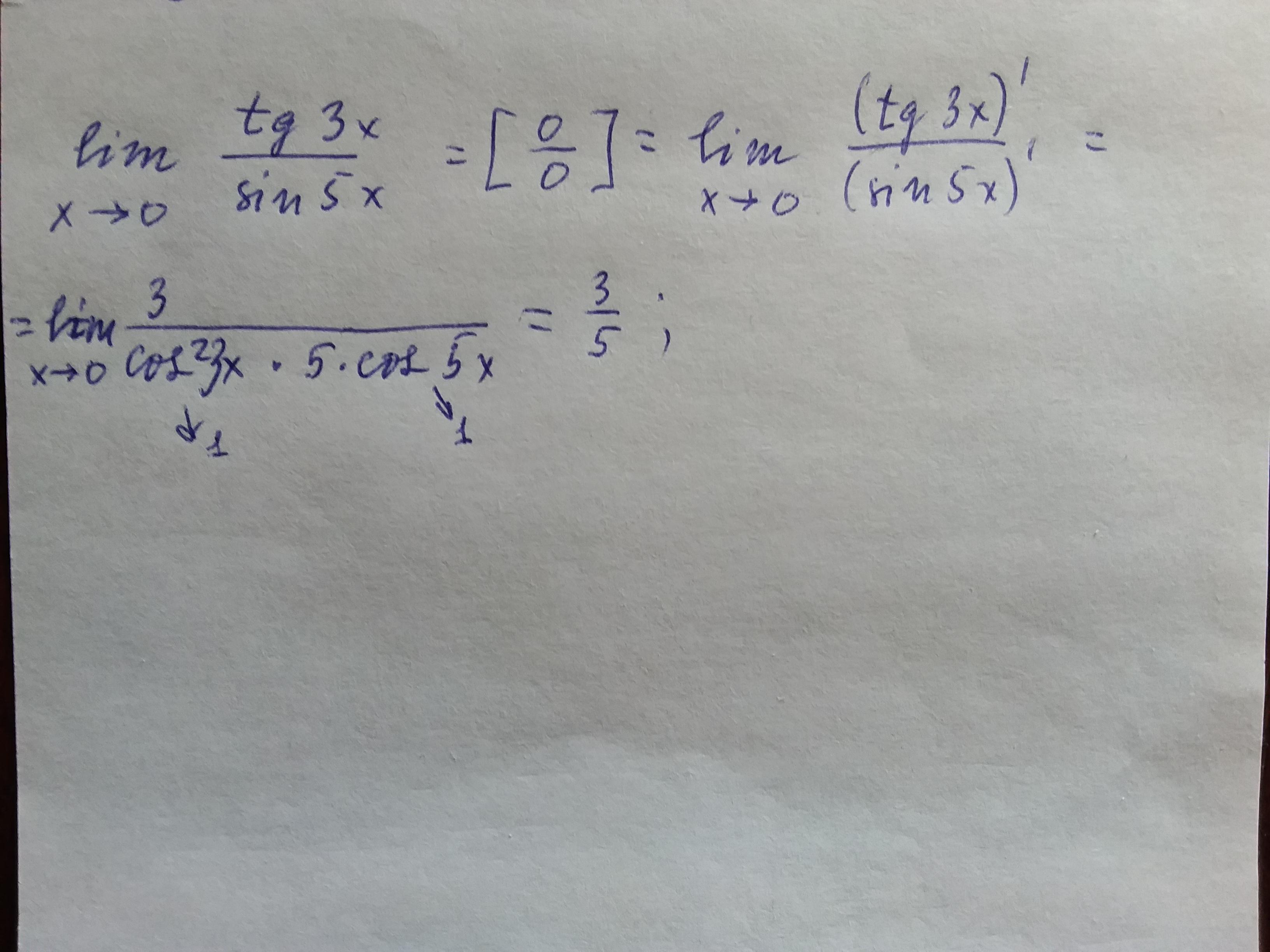
Определить границы(пределы) функции

Приложения:

bb573878: 3/5
Аноним: требуется детальное решение

Ответы

Ответ дал: lidiasaraa3
1

Ответ:

Пошаговое объяснение:

Приложения:
Вас заинтересует