• Предмет: Алгебра
  • Автор: Rizbit
  • Вопрос задан 8 лет назад

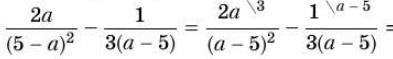
Как это? Многочлен в знаменателе перевернули, а знак не изменили. Опечатка в учебнике или я что-то не понимаю?

Приложения:

Ответы

Ответ дал: ilyalvov07
1

Ответ:

Ошибки нет

Объяснение:

Знак в квадратах можно менять, так как квадрат делает число положительным.


Rizbit: Спасибо, теперь понял)
Вас заинтересует