• Предмет: Алгебра
  • Автор: qsp009
  • Вопрос задан 8 лет назад

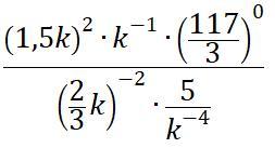
Задано значение k=0, 000005 и алгебраическое выражение:

выражение ниже

а) запишите число k в стандартном виде;

б) упростите алгебраическое выражение;

в) вычислите значение выражения при заданном значении k.

Решение задания запишите подробно.

Приложения:

Ответы

Ответ дал: KirStalker06
15

Ответ:

Как то так

Объяснение:

Приложения:

qsp009: когда у меня проверят дз, то отвечу
arinasandybina12: хорошо, удачи вам!
qsp009: :)
qsp009: правда у меня уже 3 или 4 день проверяют
pokaynie: стандартный вид числа 5*10 -6 степени
pokaynie: Шестая отрицательная степень - 0, 000005 = 5∙〖10〗^(-6)
sarventee: все верно? кому проверили?
NoPleaseNo: Верно все, не парьтесь
NoPleaseNo: Только стандартный вид числа не 5*10^6, а 5*10^-6
vthimt432: спасибо, очень помогли
Вас заинтересует