• Предмет: Алгебра
  • Автор: vsepovzlomu
  • Вопрос задан 8 лет назад

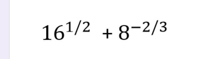
помогите срочно
полное решение плиз​

Приложения:

Ответы

Ответ дал: zpigulevskaa
0

Ответ:

1

Объяснение:

В фото видно

Приложения:

vsepovzlomu: можешь более подробно написать, и ответ
zpigulevskaa: Я и так расписала, но все на фото
vsepovzlomu: ответ то какой
zpigulevskaa: Ответ 1
Вас заинтересует