• Предмет: Математика
  • Автор: asemenenko231
  • Вопрос задан 8 лет назад

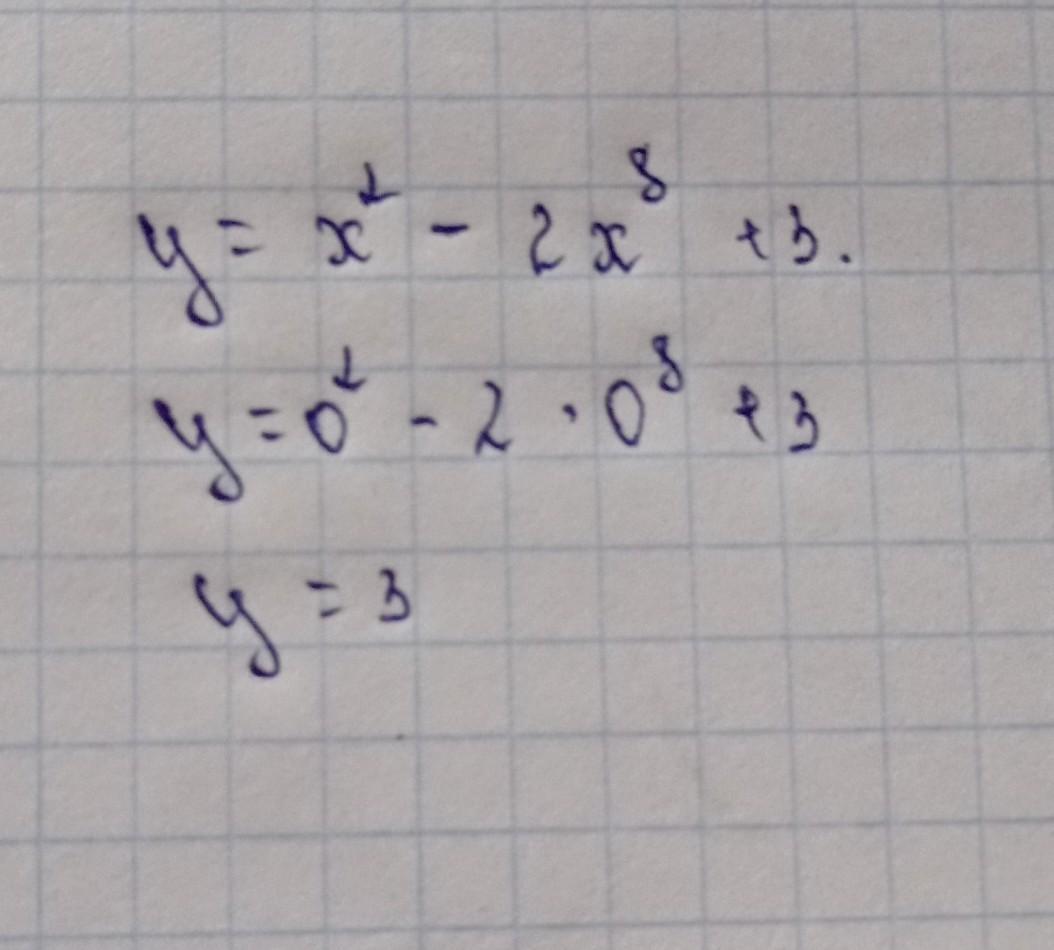
Дослідити на парність і непарність функції: у=х²-2х⁸+3​

Ответы

Ответ дал: anakina1307
1

Ответ:

Что бы найти пересечение с осью y подставте x=0

Приложения:

asemenenko231: вона парна чи не парна?
Вас заинтересует