Ответы
Ответ дал:
1
Ответ:
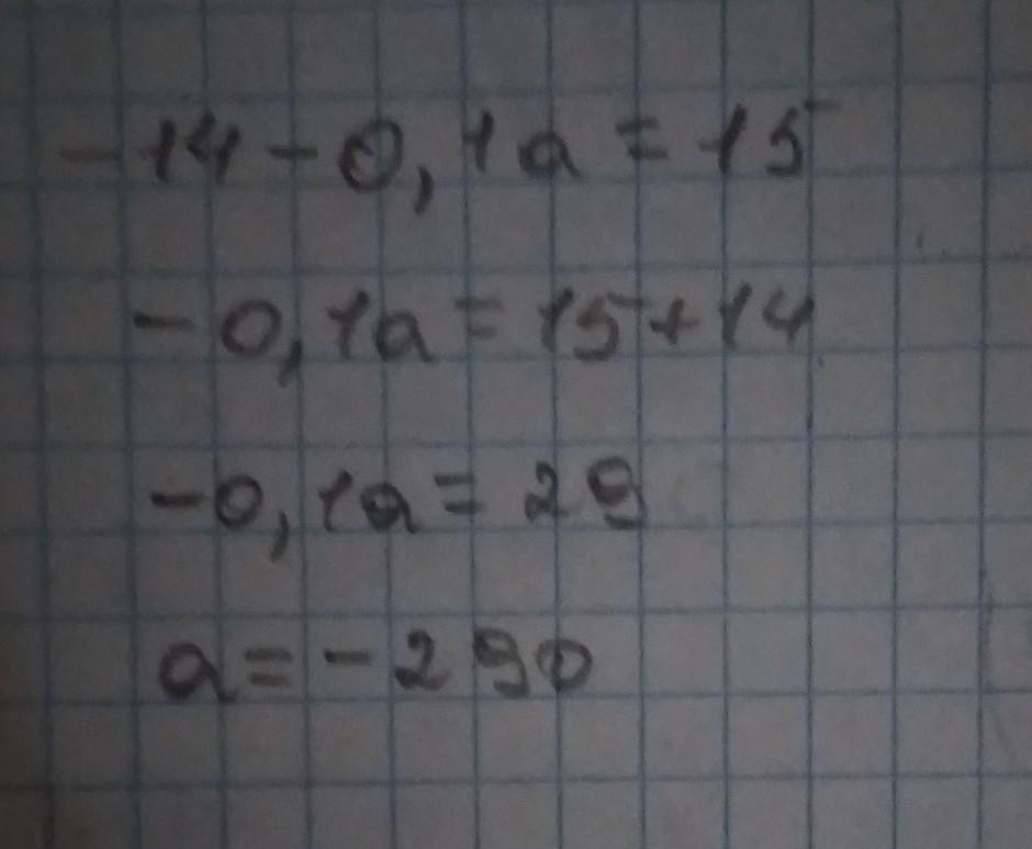
0,1 а = -15-14
0,1 а = -29
а = -29 : 0,1
а = -290
Ответ дал:
1
Ответ:
отметь пожалуйста лучший ответ и лайкни
Приложения:

Аноним:
Спасибо реальнт правильно
Вас заинтересует
2 года назад
2 года назад
3 года назад
3 года назад
8 лет назад
8 лет назад