• Предмет: Алгебра
  • Автор: obeme14
  • Вопрос задан 8 лет назад

Пж помогите срочнопрям очень срочнооо дам 70

Приложения:

obeme14: Да
zuriatagabekova: 2-?
obeme14: Второе не нужно
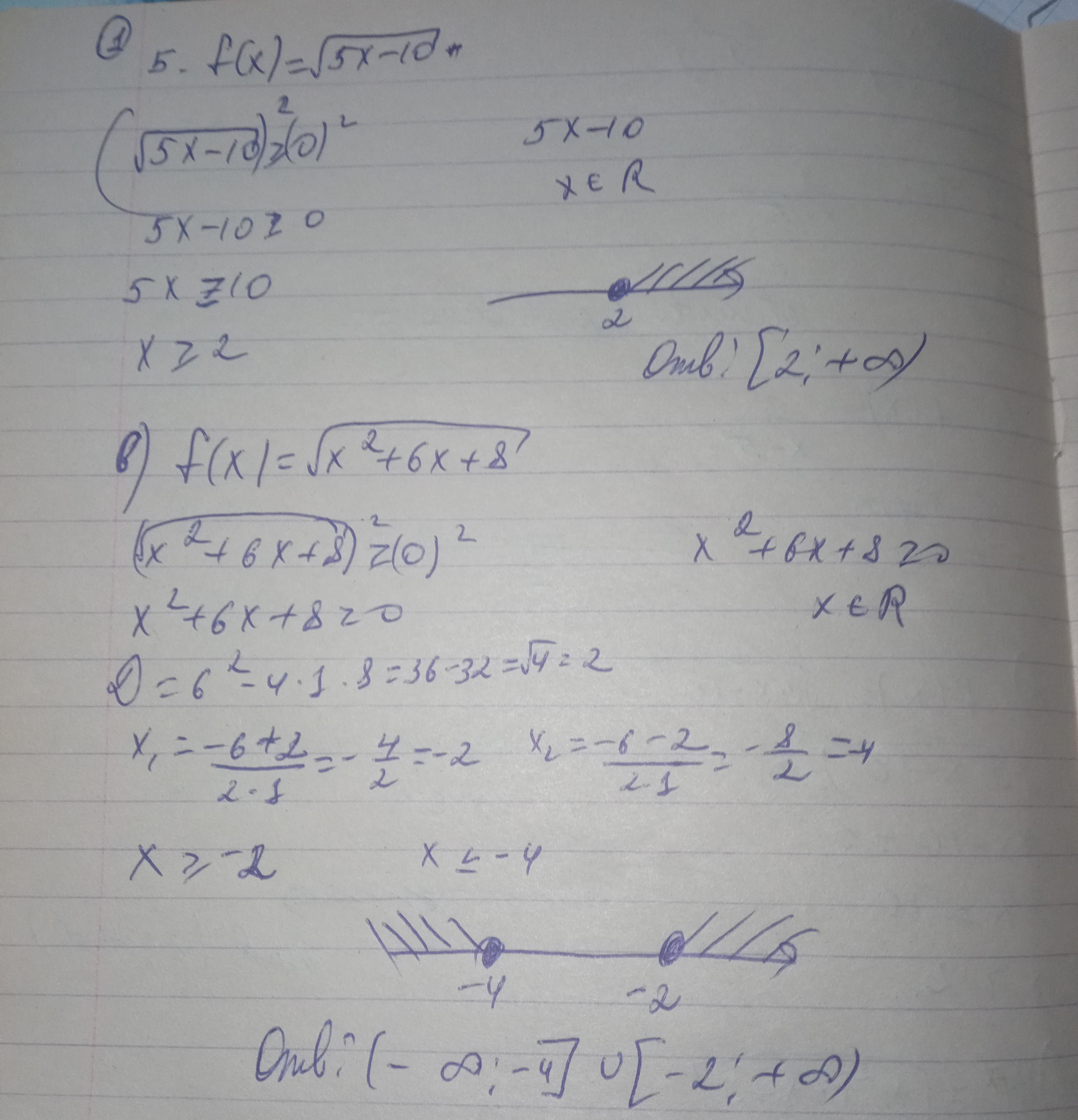
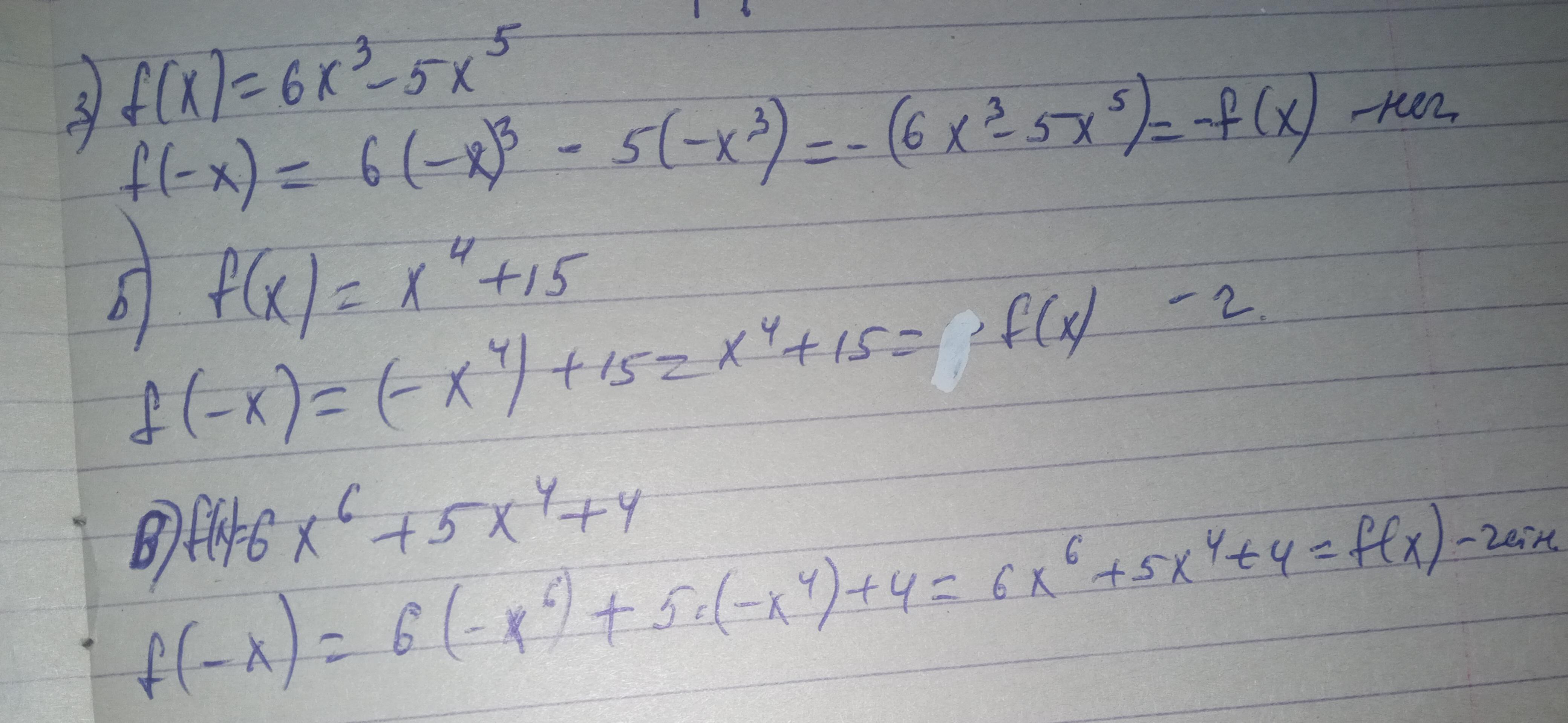
obeme14: 3 иследуйте на парность функцию
obeme14: Спасибо вам большоеее
zuriatagabekova: Во втором уже построила график
zuriatagabekova: Но на клетчатой бумаге более красиво нарисуйте
На точка 2
zuriatagabekova: На точках-2 и 4*
obeme14: Спасибооо
zuriatagabekova: Не за что

Ответы

Ответ дал: zuriatagabekova
1

Ответ:

Ответ

Объяснение:

Приложения:
Вас заинтересует