• Предмет: Алгебра
  • Автор: nefexnumb777
  • Вопрос задан 8 лет назад

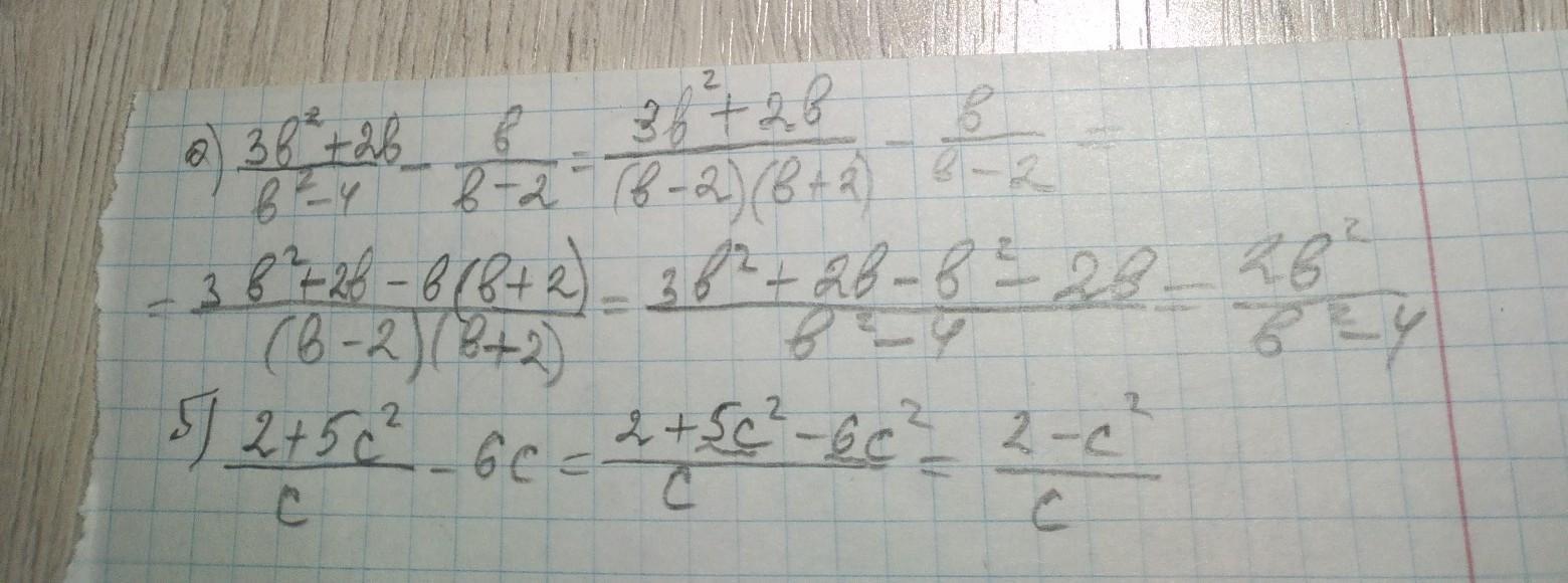
найдите сумму или разность можно сделать любой но желательно 2 примера и в тетради с решением​

Приложения:

khusanovarobia19: отметь лучший ответ пожалуйста
khusanovarobia19: отметь лучший ответ

Ответы

Ответ дал: khusanovarobia19
2

Объяснение:

отметь пожалуйста лучший ответ и лайкни

Приложения:

nefexnumb777: спасибо большое
khusanovarobia19: отметь лучший ответ
khusanovarobia19: отметь лучший ответ плиз
Вас заинтересует