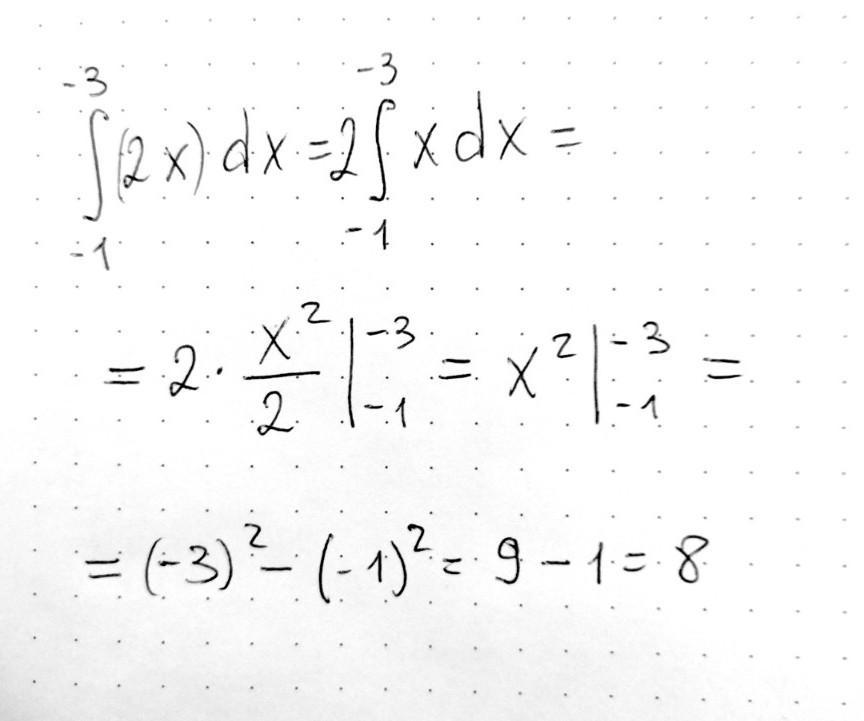
Чему равен определенный интеграл от функции f(x)=2x, если верхний предел интегрирования равен - 3, а нижний - 1?
Ответы
Ответ дал:
1
Ответ:
Решение на фото.
Приложения:

kseniars:
Спасибо
Вас заинтересует
2 года назад
3 года назад
3 года назад
8 лет назад
8 лет назад
9 лет назад