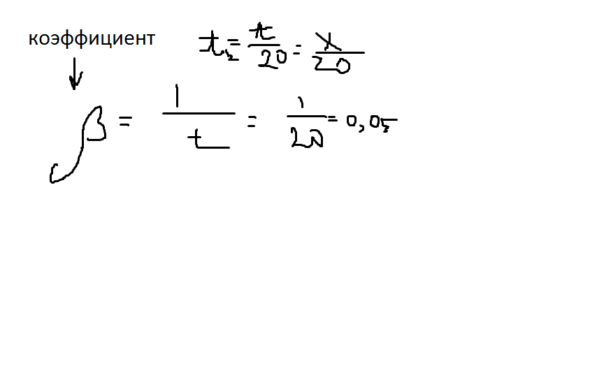
Найти коэффициент затухания колебаний аналитических весов, если известно что за 10с амплитуда уменьшилась в 20 раз
Ответы
Ответ дал:
0
Не забудь поблагодарить)))))))))))))0
Приложения:

Вас заинтересует
2 года назад
8 лет назад
10 лет назад
10 лет назад
10 лет назад