• Предмет: Алгебра
  • Автор: kozlovaveronika002
  • Вопрос задан 8 лет назад

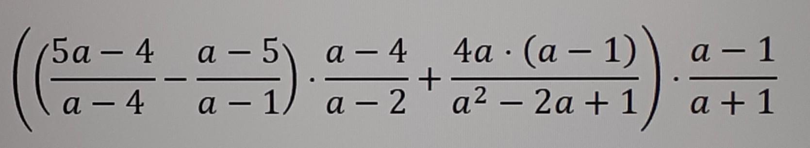
Задание 4
Упростите выражение:​

Приложения:

Ответы

Ответ дал: NNNLLL54
0

Ответ:

\displaystyle \Big(\Big(\frac{5a-4}{a-4}-\frac{a-5}{a-1}\Big)\cdot \frac{a-4}{a-2}+\frac{4a(a-1)}{a^2-2a+1}\Big)\cdot \frac{a-1}{a+1}=\\\\\\=\Big(\frac{(5a-4)(a-1)-(a-5)(a-4)}{(a-4)(a-1)}\cdot \frac{a-4}{a-2}+\frac{4a(a-1)}{(a-1)^2}\Big)\cdot \frac{a-1}{a+1}=\\\\\\=\Big(\frac{4a^2-16}{a-1}\cdot \frac{1}{a-2}+\frac{4a}{a-1}\Big)\cdot \frac{a-1}{a+1}=\\\\\\=\Big(\frac{4(a-2)(a+2)}{a-1}\cdot \frac{1}{a-2}+\frac{4a}{a-1}\Big)\cdot \frac{a-1}{a+1}=

\displaystyle =\Big(\frac{4(a+2)}{a-1}+\frac{4a}{a-1}\Big)\cdot \frac{a-1}{a+1}=\frac{4a+8+4a}{a-1}\cdot \frac{a-1}{a+1}=\\\\\\=\frac{8a+8}{a+1}=\frac{8(a+1)}{a+1}=8

Вас заинтересует