7 класс... Параллельные прямые:)
Помогите решить задачу через части...
Обязательно объяснить! Надеюсь поможите:3
Приложения:
Ответы
Ответ дал:
0
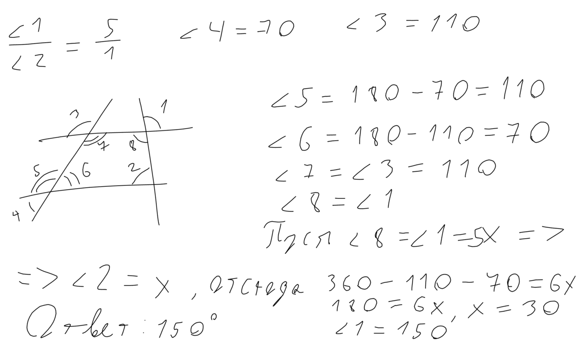
Решение и ответ на изображении:
Приложения:
Вас заинтересует
3 года назад
3 года назад
8 лет назад
11 лет назад
11 лет назад
11 лет назад
11 лет назад