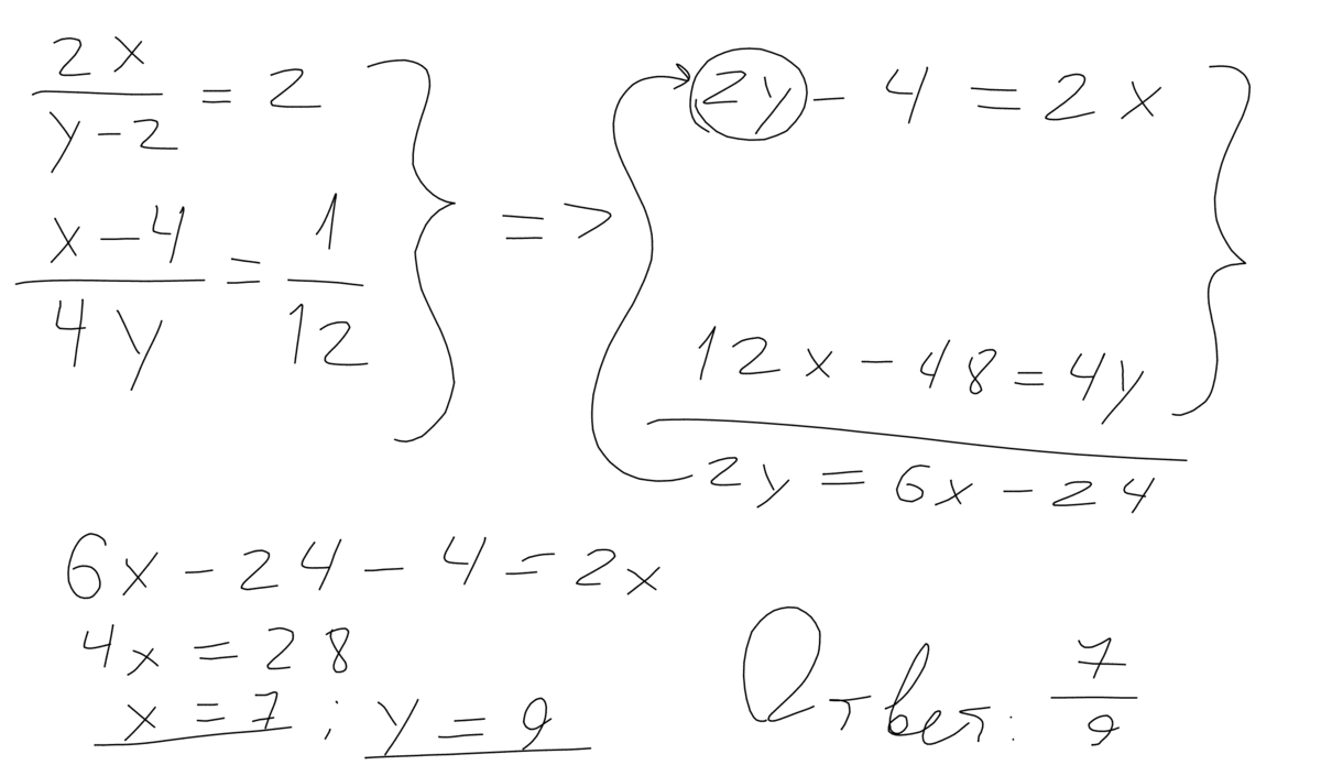
если числитель дроби умножить на 2 а из знаменателя вычесть 2 то получиться 2.если же из числителя вычесть 4 а знаменатель умножить на 4 то получится 1/12.найдите эту дробь. легчайшая задачка для 7 класса.
Ответы
Ответ дал:
0
Решение и ответ на фото ниже
Приложения:

Вас заинтересует
2 года назад
8 лет назад
10 лет назад
10 лет назад
10 лет назад