Ответы
Ответ дал:
0
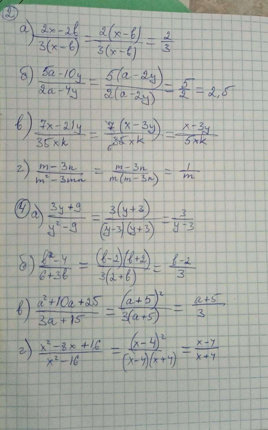
ответ на фото:
...
лучший ответ плиз
Приложения:

Вас заинтересует
3 года назад
3 года назад