• Предмет: Алгебра
  • Автор: Аноним
  • Вопрос задан 8 лет назад

помогите пж даю 25 баллов​

Приложения:

Ответы

Ответ дал: Аноним
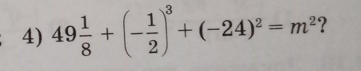
1

упростим левую часть уравнения.

49 1/8-1/8+576=m²

m²=625;   625=25²

m²-25²=0; (m-25)*(m+25)=0;

m-25=0⇒m=25;

m+25=0⇒m=-25

Ответ -25; 25

Вас заинтересует