• Предмет: Геометрия
  • Автор: shitboy090
  • Вопрос задан 8 лет назад

Срочно надо решить задачу дам 70 баллов.
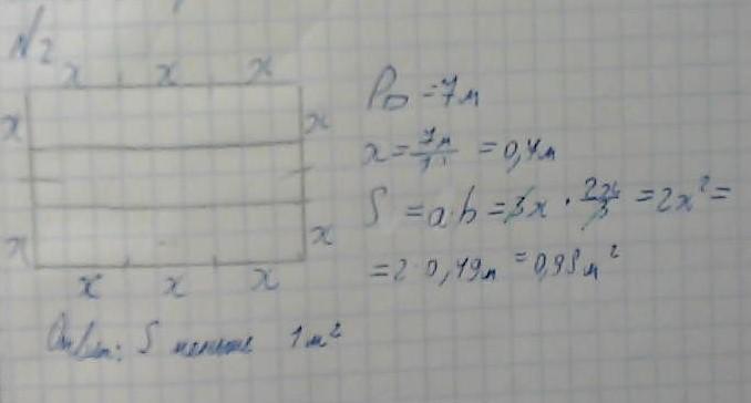
Периметр Государственного флага Российской Федерации равен семи метрам, а отношение его сторон равно 2:3. Найдите площадь любой из его полос. Больше она или меньше квадратного метра

Ответы

Ответ дал: shieworm111
4

Ответ:

Решение в прикреплённом файле

Объяснение:

Приложения:

6AMgg: Почему b = 2x/3, а не просто 2x
6AMgg: ??
Вас заинтересует