Ответы
Ответ дал:
1
Ответ:
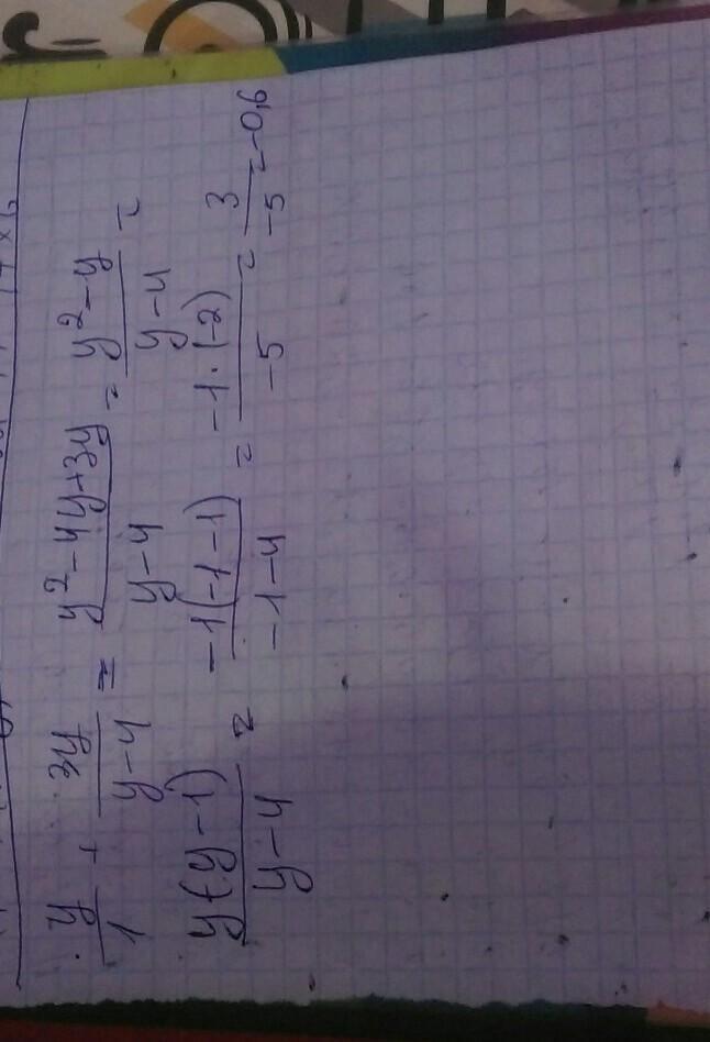
решение на листочке...
Приложения:

Аноним:
а там в ответах написано, что ответ -0,4
Вас заинтересует
2 года назад
2 года назад
3 года назад
8 лет назад
9 лет назад