• Предмет: Математика
  • Автор: ecgklymat
  • Вопрос задан 8 лет назад

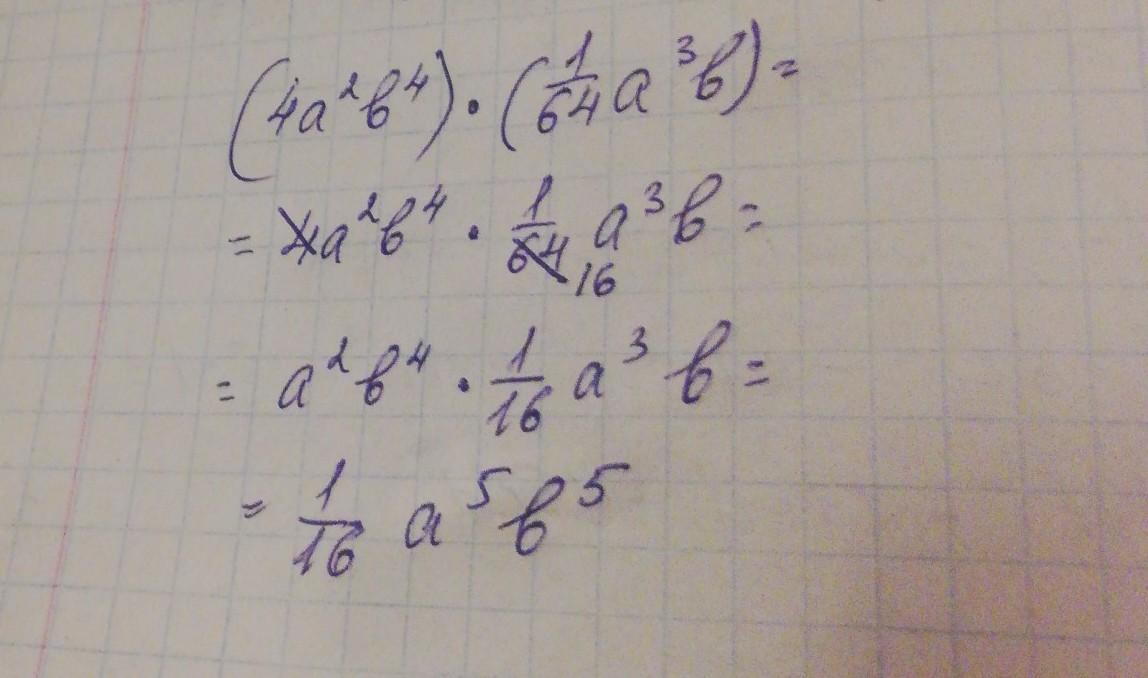
спрости вираз(4a²b⁴)*(`1/64a³b) срочно ​

Ответы

Ответ дал: larisaserova53
1

Ответ:

Смотри решение на фото ниже

Приложения:

ecgklymat: спасибо
Вас заинтересует