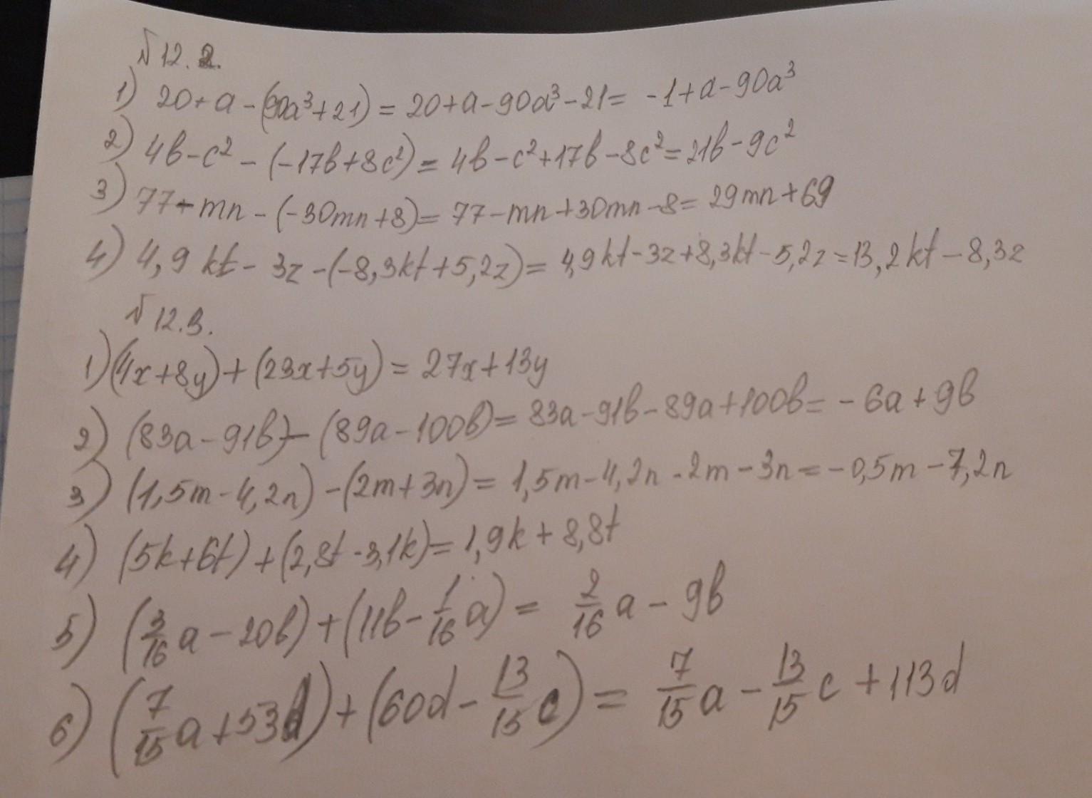
Помогите пж найдите разность многочленов 12.2
И Найдите алгебраическую сумму многочленов 12.3
Приложения:

Ответы
Ответ дал:
31
Объяснение:
12.2 и 12.3 ...............
Приложения:

arturbur43:
спасибо
Вас заинтересует
2 года назад
2 года назад
3 года назад
8 лет назад
8 лет назад
9 лет назад
9 лет назад