• Предмет: Алгебра
  • Автор: k0tzlo
  • Вопрос задан 8 лет назад

помогите решить, желательно подробно

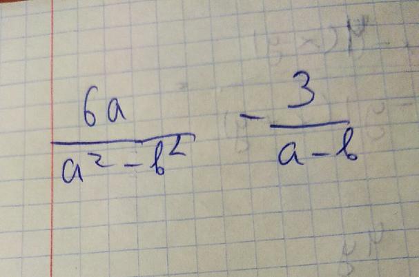
Приложения:

Ответы

Ответ дал: ViktoriaPobloki
1

 \frac{6a}{a^{2} - b^{2}} -  \frac{3}{a - b} =  \frac{6a}{(a - b)(a + b)} -  \frac{3}{a - b} =  \\  \frac{6a - 3(a + b)}{(a + b)(a - b)} =  \frac{6a - 3a - 3b}{(a + b)(a - b)} =  \frac{3a - 3b}{(a + b)(a - b)} =  \\  \frac{3(a - b)}{(a + b)(a - b)} =  \frac{3}{a + b}

Вас заинтересует