• Предмет: Алгебра
  • Автор: poziloizmyh
  • Вопрос задан 7 лет назад

Помогите пожалуйста ​

Приложения:

Ответы

Ответ дал: UluanaV
0

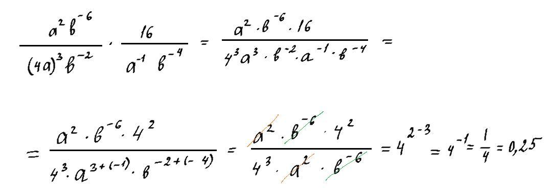
Ответ:

0,25

Объяснение:

Решение на фото.

Приложения:
Ответ дал: bozvanovivan
0

Ответ:

ответ записал в десятичной дроби

Приложения:
Вас заинтересует