• Предмет: Алгебра
  • Автор: nataliabestaeva92
  • Вопрос задан 7 лет назад

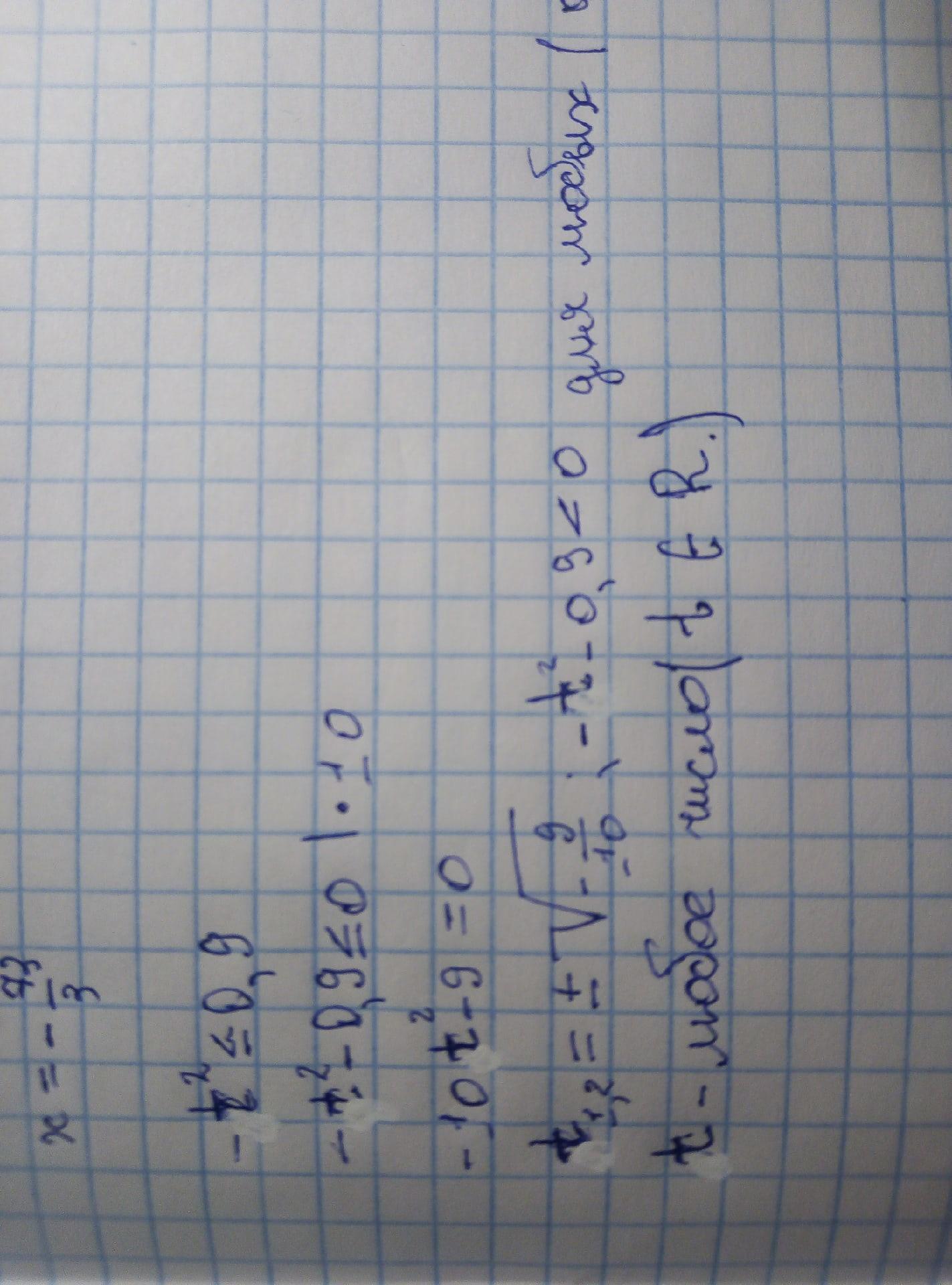
Число 0,9 не являетсяявляется решением неравенства −t2≤0,9

Является/не является​

Приложения:

Ответы

Ответ дал: RosesKing
1

Ответ:

Является.

Объяснение:

Приложения:
Вас заинтересует