Ответы
Ответ дал:
1
Ответ:
Смотри решение на фото ниже
Приложения:
Ответ дал:
1
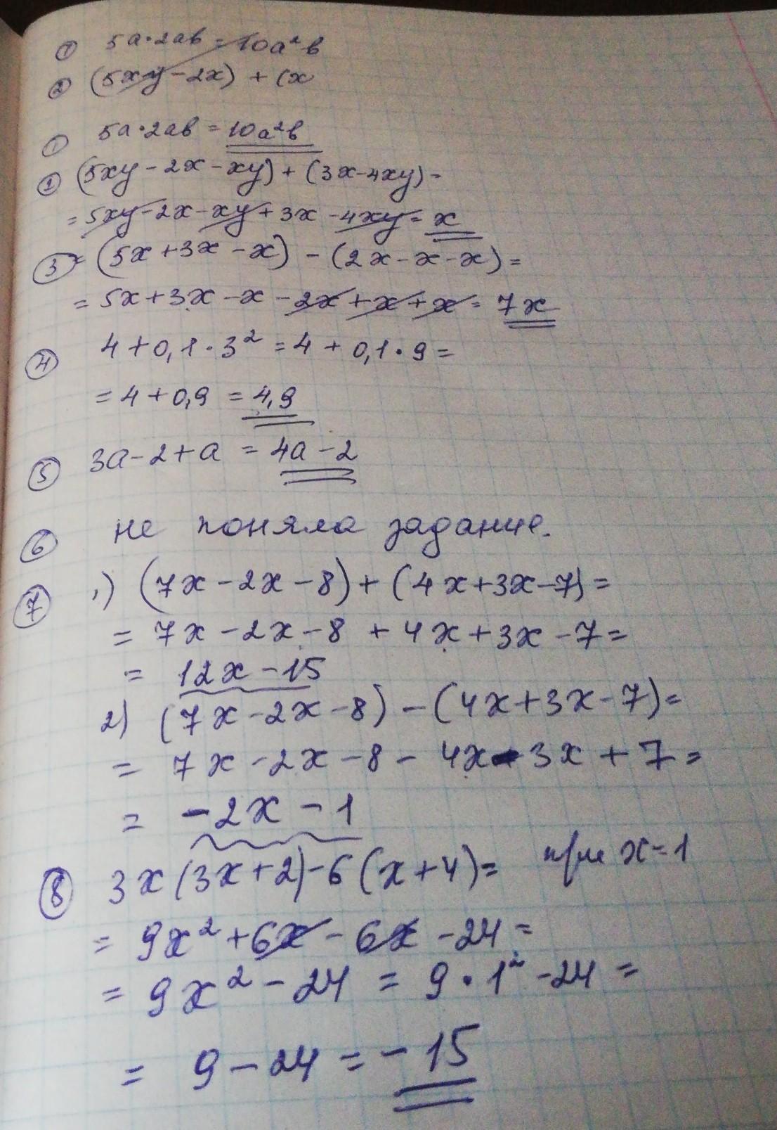
1. В) 10а^2
2. В) ху + х - ху
3. А) 7х
4. Г) 4,9
5. В) 4а - 2
6. ———
7. Сумма = 12х - 15;
Разность = -2х - 1
8. 3х(3х + 2) - 6(х + 4) =
9х^2 + 6х - 6х - 24 = 9х^2 - 24 =
9 * 1 - 24 = - 15
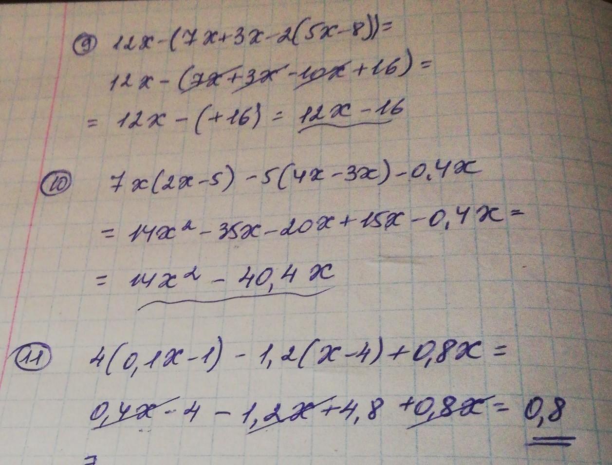
9. ————
10. 7х(2х - 5) -5(4х - 3х) - 0,4х =
14х^2 - 35х - 5х - 0,4х =
14х^2 - 40,4х
2. В) ху + х - ху
3. А) 7х
4. Г) 4,9
5. В) 4а - 2
6. ———
7. Сумма = 12х - 15;
Разность = -2х - 1
8. 3х(3х + 2) - 6(х + 4) =
9х^2 + 6х - 6х - 24 = 9х^2 - 24 =
9 * 1 - 24 = - 15
9. ————
10. 7х(2х - 5) -5(4х - 3х) - 0,4х =
14х^2 - 35х - 5х - 0,4х =
14х^2 - 40,4х
Аноним:
1) 10а^2 b
2) г) х
Вас заинтересует
2 года назад
3 года назад
3 года назад
9 лет назад
9 лет назад
10 лет назад