• Предмет: Физика
  • Автор: pribylov
  • Вопрос задан 8 лет назад

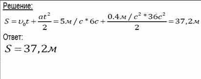
Лыжник съехал с горки за 6с,двигаясь с постоянным с ускорением 0,5 м/с² .Определите длину горки,если известно,что в начале
спуска скорость лыжника была равна 5м/с. Пж​

Ответы

Ответ дал: Kirillbazuka
0

......,........,.........

Приложения:
Вас заинтересует