• Предмет: Алгебра
  • Автор: slysianska99
  • Вопрос задан 8 лет назад

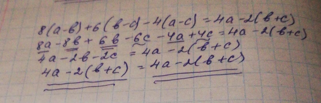
Доведіть тотожність 8(a-b)+6(b-c)-4(a-c)=4a-2(b+c)

Ответы

Ответ дал: larisaserova53
1

Ответ:

Смотри решение на фото ниже

Приложения:
Вас заинтересует