Ответы
Ответ дал:
5
Ответ:
Смотри решение на фото ниже
Приложения:

Ответ дал:
0
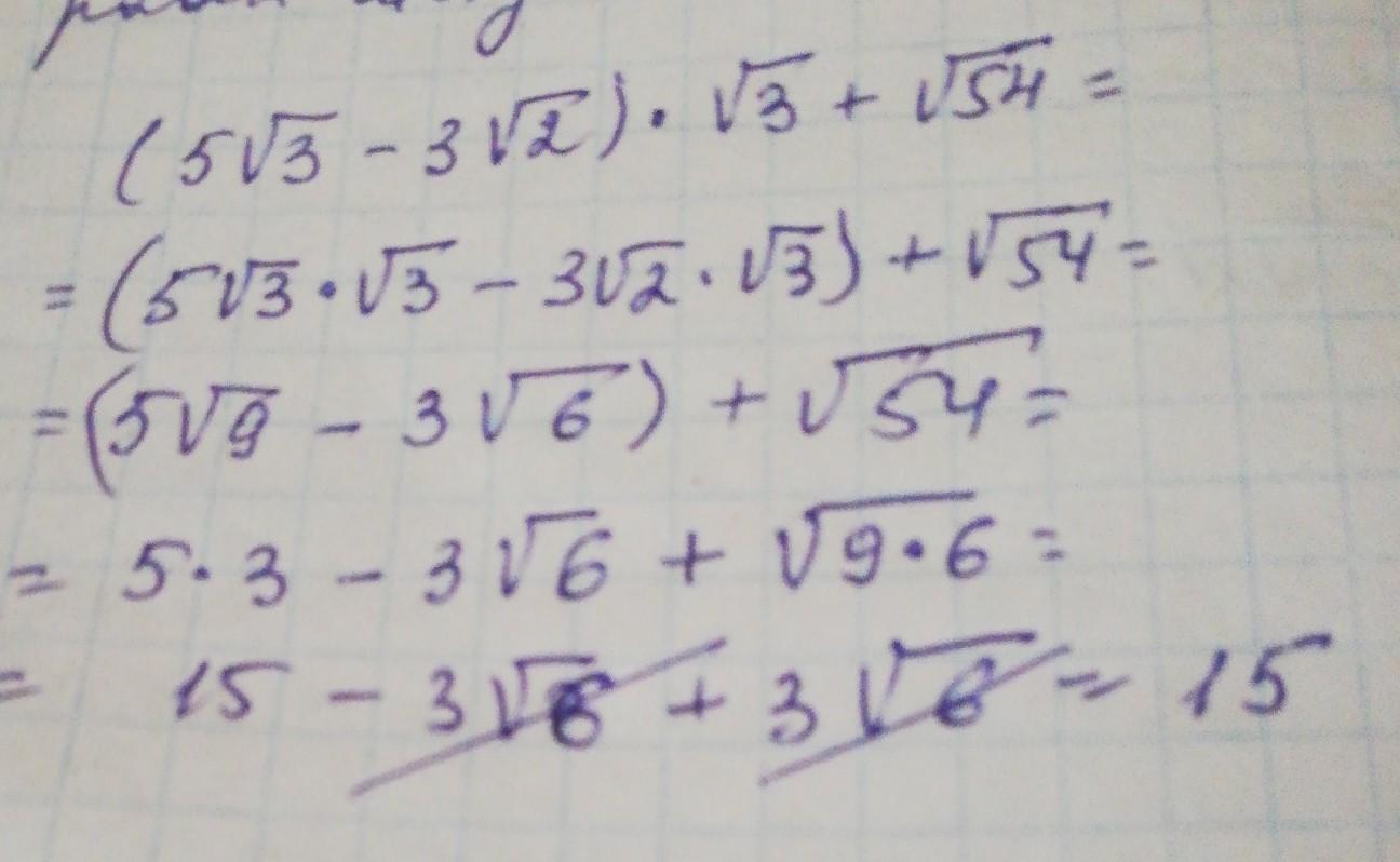
Ответ: 15
Объяснение:
Распределить V3 через скобки, упростить корень
15-3V6+3V6.
Поскольку сумма двух величин ровна сокращяем.
15
Вас заинтересует
2 года назад
3 года назад
3 года назад
8 лет назад
8 лет назад
9 лет назад