• Предмет: Математика
  • Автор: Аноним
  • Вопрос задан 8 лет назад

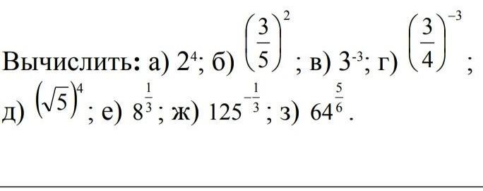
ребят можете помочь с алгеброй.На каждое уровнение надо ответить​

Приложения:

Ответы

Ответ дал: Pakisaurus
0

Ответ:

а) 16

б) 9  25ых

в) 1   27я

г) 64   27ых

д) 25

е) 2

ж) 1  5я

з) 32

Пошаговое объяснение:


Аноним: можешь сделать пошагово
Вас заинтересует