• Предмет: Алгебра
  • Автор: boborechi
  • Вопрос задан 8 лет назад

Представьте в виде дроби

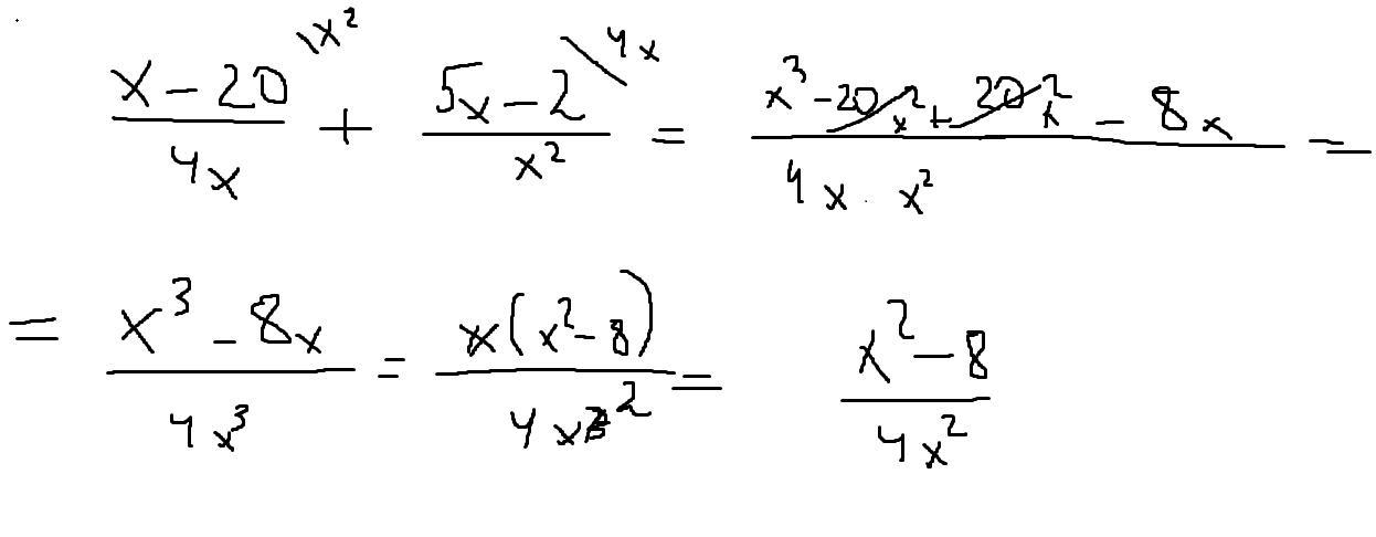
 \frac{x - 20}{4x}  +  \frac{5x - 2}{ {x}^{2} }

Ответы

Ответ дал: rusaalim123
1

Ответ:

Для того, чтобы сложить дроби найдем общий знаменатель, перемножив знаменатели данных дробей. Найдем дополнительные множитель. Перемножим. Приведем подобные. Вынесем х за скобки и сократим с 4x^3, получится 4х^2.

Объяснение:

Приложения:
Вас заинтересует