• Предмет: Алгебра
  • Автор: alievelnur1302
  • Вопрос задан 8 лет назад

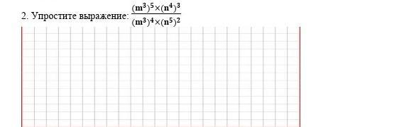
2. Упростите выражение: (m³)⁵×(n⁴)³/(m³)⁴×(n⁵)²

Приложения:

Ответы

Ответ дал: larisaserova53
0

Ответ:

Смотри решение на фото ниже

Приложения:

alievelnur1302: спасибо а это правильно?
larisaserova53: да
Вас заинтересует