• Предмет: Математика
  • Автор: alexeew150108
  • Вопрос задан 8 лет назад

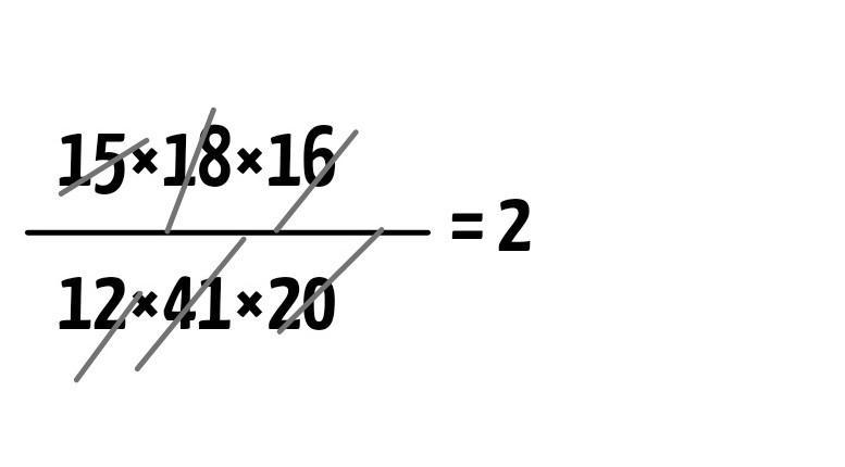
Помогите пж
15*82*16
_______
12*41*20
нужно сократить эту дробь
Даю 15 баллов.

Ответы

Ответ дал: ilasovagalina890
0

Ответ:2

Пошаговое объяснение:

При сокращении дроби получилось 2/1=2

Приложения:
Ответ дал: Milan132
1

Отметь ответ лучшим . Мне будет приятно .

Приложения:
Вас заинтересует