Ответы
Ответ дал:
1
Ответ приведен в приложении.
Приложения:

kulevnikita05:
Спасибо
Ответ дал:
1
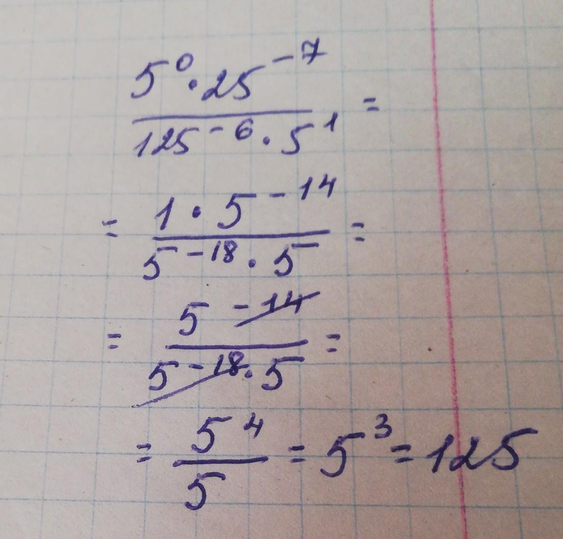
Ответ:
Смотри решение на фото ниже
Приложения:

Вас заинтересует
2 года назад
2 года назад
3 года назад
3 года назад
8 лет назад
8 лет назад
9 лет назад