• Предмет: Алгебра
  • Автор: slimezareo812
  • Вопрос задан 8 лет назад

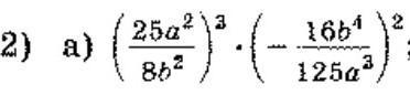
Нужна помощь по алгебре! Объясните как дали ответ​

Приложения:

Ответы

Ответ дал: Аноним
1

Ответ приведен в приложении.

Приложения:
Вас заинтересует