• Предмет: Информатика
  • Автор: lolikys2281337
  • Вопрос задан 8 лет назад

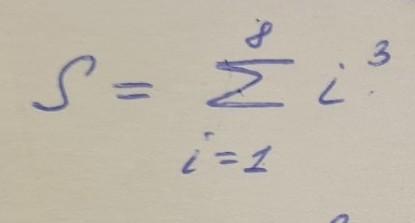
помогите, пожалуйста. нужно написать программу в паскале для нахождения значения S, желательно с минимальными объяснениями яисто для меня. хочется понять, а не чисто списать​

Приложения:

Ответы

Ответ дал: restIess
1

uses Math; //подключаем математическую библиотеку

var i : integer; //объявляем целочисленную переменную для цикла

s : real; //объявляем вещественную переменную для суммы

begin//начала основной программы

s := 0;//даем сумме значение 0

for i := 1 to 8 do//запускаем цикл, который идет от 1 до 8

   s := s + power(i, 3);//каждый проход цикла увеличиваем сумму на i в кубе

writeln(s:4:0);//выводим результат

end.//конец программы


restIess: Остались вопросы - задавай
Вас заинтересует