• Предмет: Алгебра
  • Автор: lizabat112006
  • Вопрос задан 8 лет назад

решите пожалуйста квадратные уравнение, срочно​

Приложения:

Ответы

Ответ дал: Аноним
0

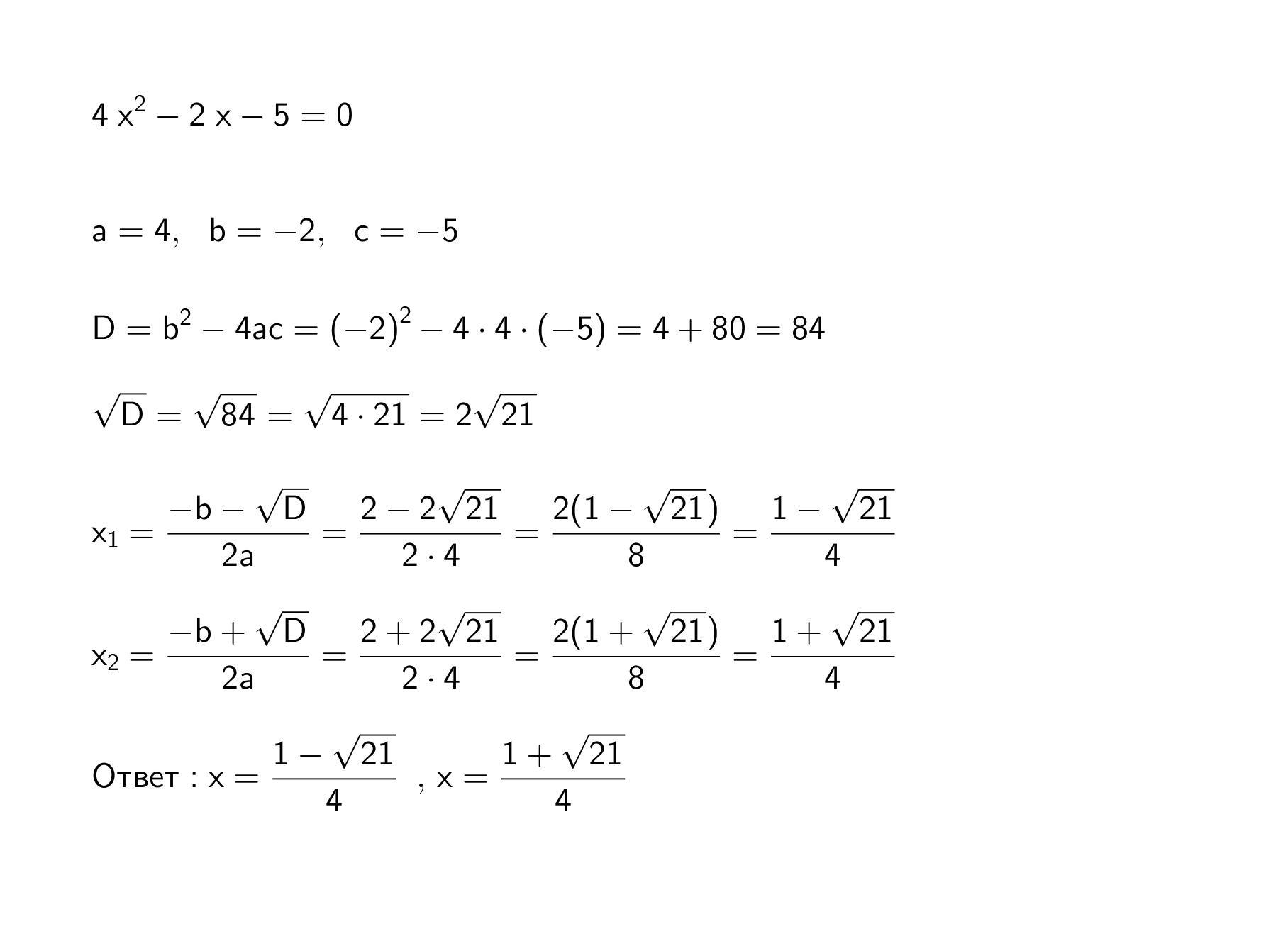
Ответ в файле

………………………..

Приложения:
Вас заинтересует