• Предмет: Алгебра
  • Автор: annacondda
  • Вопрос задан 8 лет назад

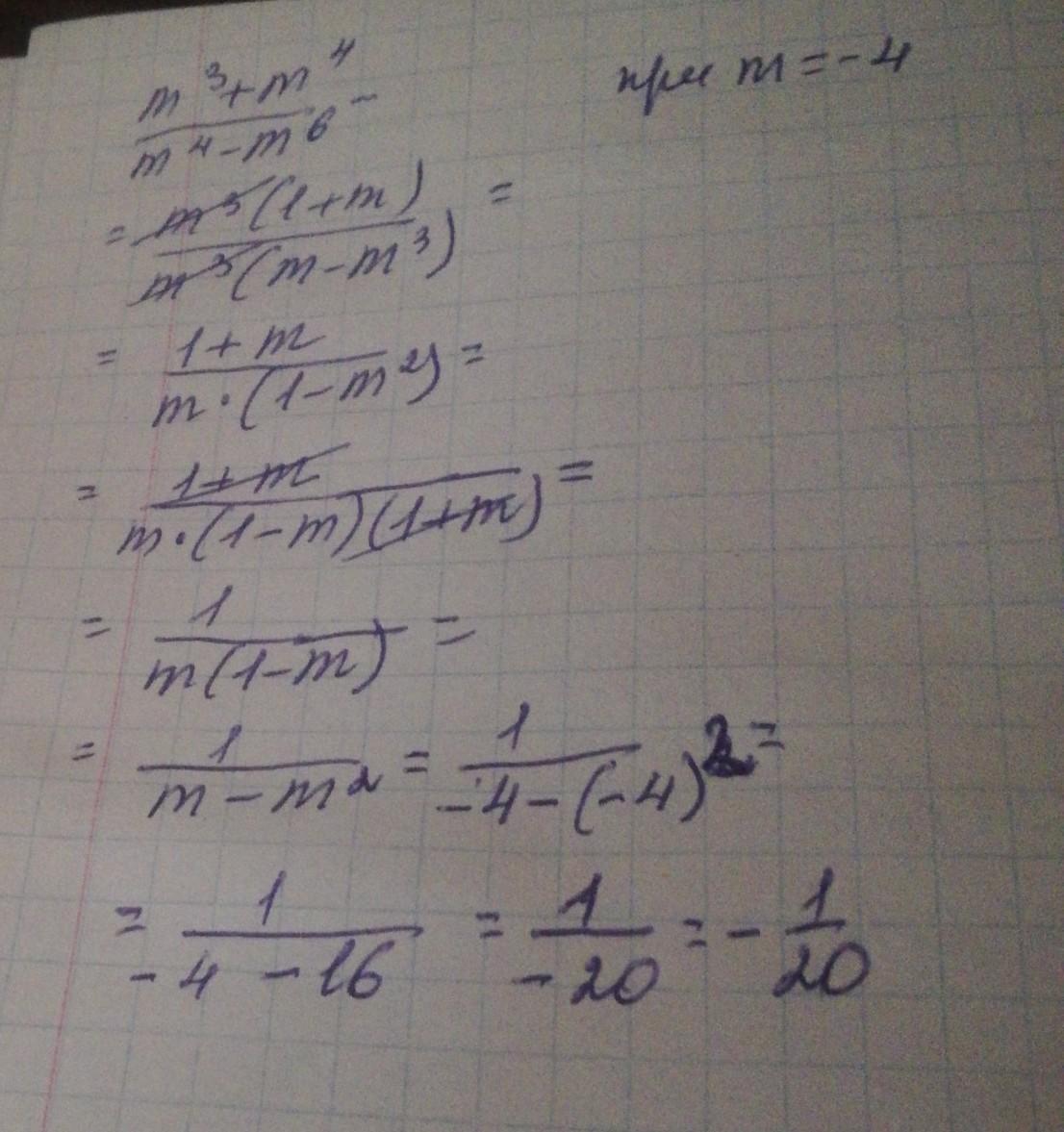
найдите значение выражения
m^3+m^4/m^4-m^6 при m= -4
пожалуйста срочно надо

Ответы

Ответ дал: 165ABr
0

Ответ:

Объяснение:

m^3+m^4/m^4-m^6

m^3 + 1 - m^6

-m^6 + m^3 + 1

-(-4)^6 + (-4)^3 + 1 = - 4096 - 64 + 1 =-4159

Ответ дал: larisaserova53
1

Ответ:

Смотри решение на фото ниже

Приложения:

larisaserova53: посмотри условие примера я правильно написала или нет?
Вас заинтересует