• Предмет: Геометрия
  • Автор: mashh85
  • Вопрос задан 8 лет назад

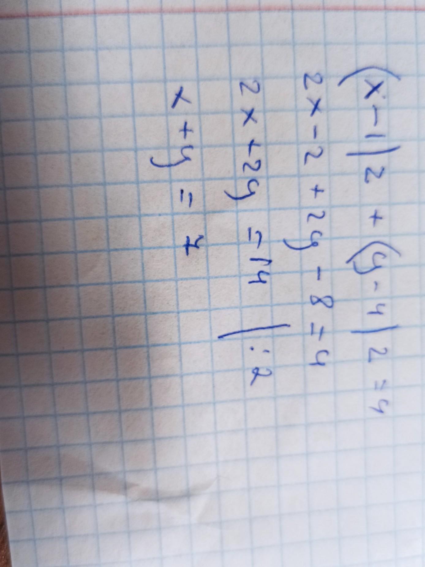
(x-1)2+(y-4)2=4 срочноо срочно

Ответы

Ответ дал: Lamia200978
0

(2x-2)+(2y-8) =4

Раскрываем скобки,

2x -2 + 2y-8 (остаётся минус) =4

Затем, отмечаем (подчёркиваем) однородные члены (я не помню как они точно называются) . Здесь это целые числа -2 и -8 (но при переносе на сколько помню меняем знак на противоположный )

Выписываем их слева,а цифры с переменными оставляем на правой стороне..

Получается: 2x+2y = 2+8

2x+2y = 10

А сложить цифры с разными переменными мы не можем:)


Arthurf: Некорректно
Ответ дал: Arthurf
0

Объяснение:

И дальше методом подбора решаешь

Приложения:
Вас заинтересует