Ответы
Ответ дал:
0
Ответ:
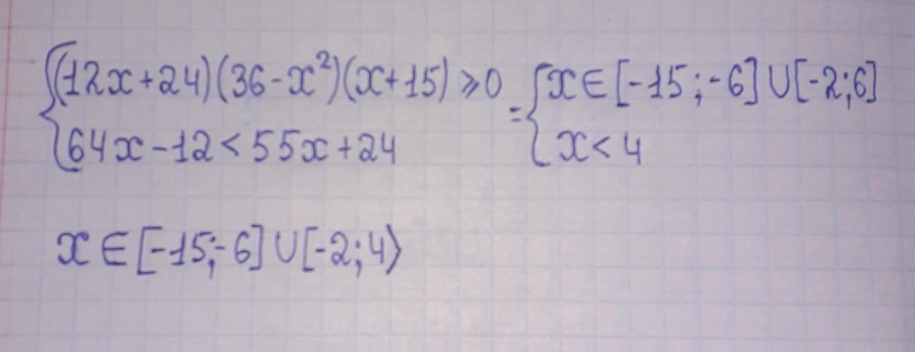
2)
...........................
Объяснение:
но я не уверен.
Приложения:

oleg54328:
я типо тоже думал так но решил удостовериться
Вас заинтересует
2 года назад
3 года назад
3 года назад
8 лет назад
8 лет назад
9 лет назад