• Предмет: Алгебра
  • Автор: Angelo4ekMilki
  • Вопрос задан 8 лет назад

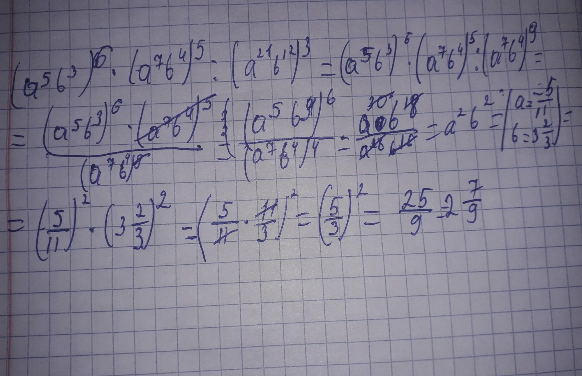
Помогите пожалуйста #10.15, даю 20 баллов!

Приложения:

ignatkazmaly4: какой класс ?
Angelo4ekMilki: 7 класс
ignatkazmaly4: неделя

Ответы

Ответ дал: ISKO05
1

Объяснение:

.....................

Приложения:
Вас заинтересует