15 баллов
задания.
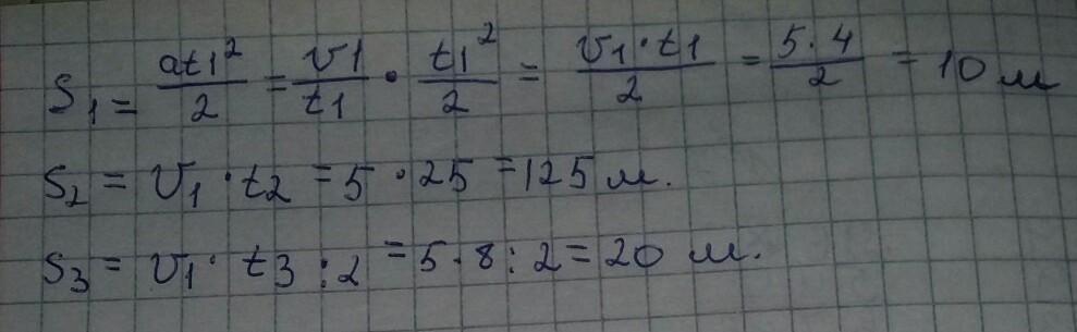
движение городского автобуса от одной остановки до другой можно разделить на несколько участков. На
первом участке (разгон) скорость возрастает до 18 км/ч за 4 с. На втором участке автобус движется равномерно
в течение 25 с. На третьем участке (торможение) автобус за 8 с останавливается. Определи путь, пройденный
автобусом, между остановками.
Ответы
Ответ дал:
2
Ответ:
Ответ : 20 м
Объяснение:
решение в картинке
Приложения:

Вас заинтересует
2 года назад
2 года назад
3 года назад
3 года назад
8 лет назад
8 лет назад
9 лет назад