Добрый день!
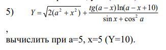
Задали написать программу на Java, которая вычисляет результат арифметического выражения (первый скрин). Y должен быть равен 10, но у меня получилось 10,99999. Можете, пожалуйста, объяснить, что не так в моем коде (второй скрин).
Приложения:


Ответы
Ответ дал:
1
Ответ:
y = math.sqrt(2 * (a*a + x*x)) + ((math.tan(a - x) * math.log(a - x + 10))/(math.sin(x) + math.cos(a) * math.cos(a)));
Объяснение:
Не хватало парочки скобок, этот код выдаёт 10.0
aeaeaert123:
Благодарю. У вас там не совсем правильно, но в целом верно. Разобрался.
Вас заинтересует
2 года назад
3 года назад
3 года назад
8 лет назад
8 лет назад
9 лет назад