• Предмет: Алгебра
  • Автор: karina567812bilozor
  • Вопрос задан 8 лет назад

помогите пожалуйста!!!​

Приложения:

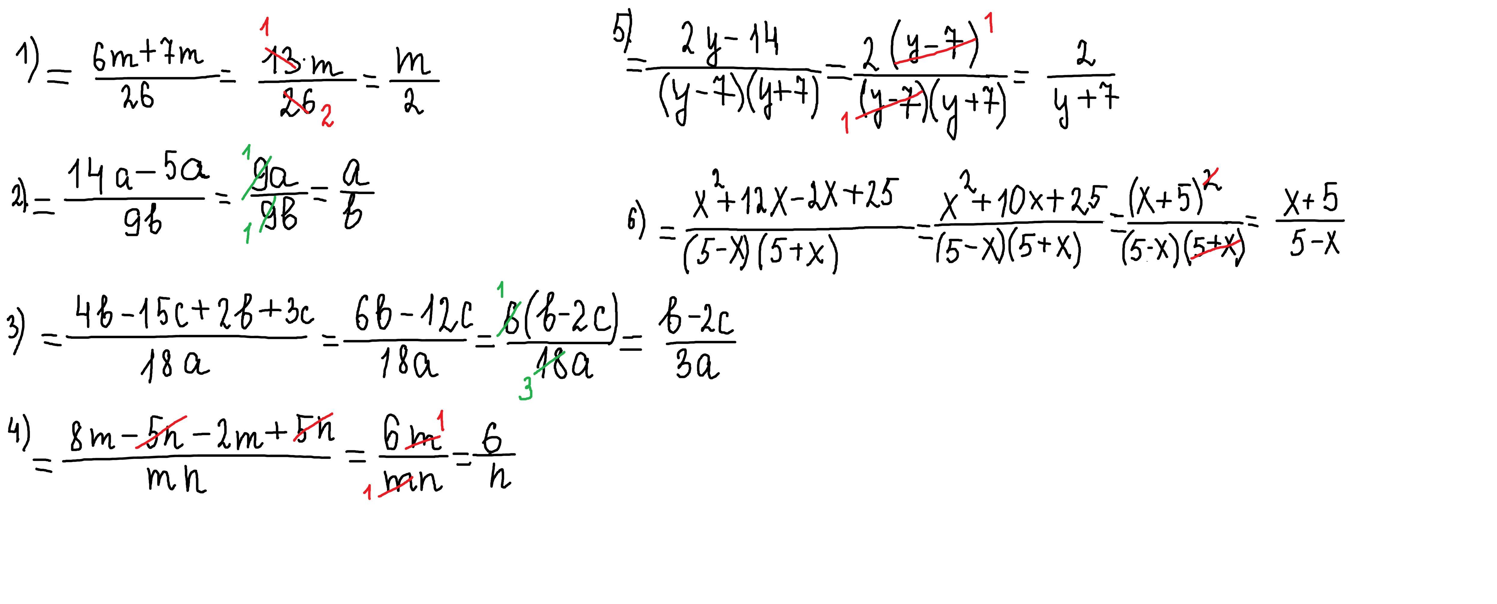
Ответы

Ответ дал: parus77
1

Ответ:

Объяснение:

решение смотри внизу

Приложения:
Вас заинтересует