• Предмет: Математика
  • Автор: homichok191084
  • Вопрос задан 8 лет назад

Определите вид зависимости величин и решите задачу с помощью составления пропорции. Изготавливая по 32 детали в час, рабочий трудился 5 часов. Сколько времени ему понадобилось бы на эту же работу, если бы он делал в час по 40 деталей​

Ответы

Ответ дал: ivanchenkoarina1
0

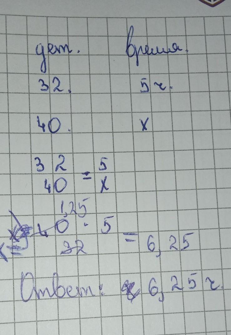
дет. время

32. 5ч.

40. x

32/40=5/x

x=40*5/32=6,25

Ответ: 6,25ч

Приложения:

homichok191084: а можешь текстом в комментариях написать? не поняла немного
ivanchenkoarina1: щас
homichok191084: ну что
ivanchenkoarina1: я же написала
homichok191084: где
ivanchenkoarina1: под фотом
homichok191084: ааа
homichok191084: извиняюсь
homichok191084: спасибо
ivanchenkoarina1: нечего страшного
Вас заинтересует