• Предмет: Алгебра
  • Автор: pavelcemin3
  • Вопрос задан 8 лет назад


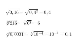
 \sqrt{0.16}  \\  \sqrt[3]{216}  \\  \sqrt[4]{0.0001}  \\

Ответы

Ответ дал: NNNLLL54
0

Ответ:

\sqrt{0,16}=\sqrt{0,4^2}=0,4\\\\ \sqrt[3]{216}=\sqrt[3]{6^3} =6\\\\\sqrt[4]{0,0001}=\sqrt[4]{10^{-4}}=10^{-1}=0,1

Приложения:

NNNLLL54: см
Аноним: ??
Вас заинтересует