• Предмет: Математика
  • Автор: leonovakamilla7
  • Вопрос задан 8 лет назад

СРОЧНО................... ​

Приложения:

hadjioglovakaleria78: Почти к цели,1)23-5×1/1=18,2)4×23+1/1=92+1=93

Ответы

Ответ дал: Аноним
0

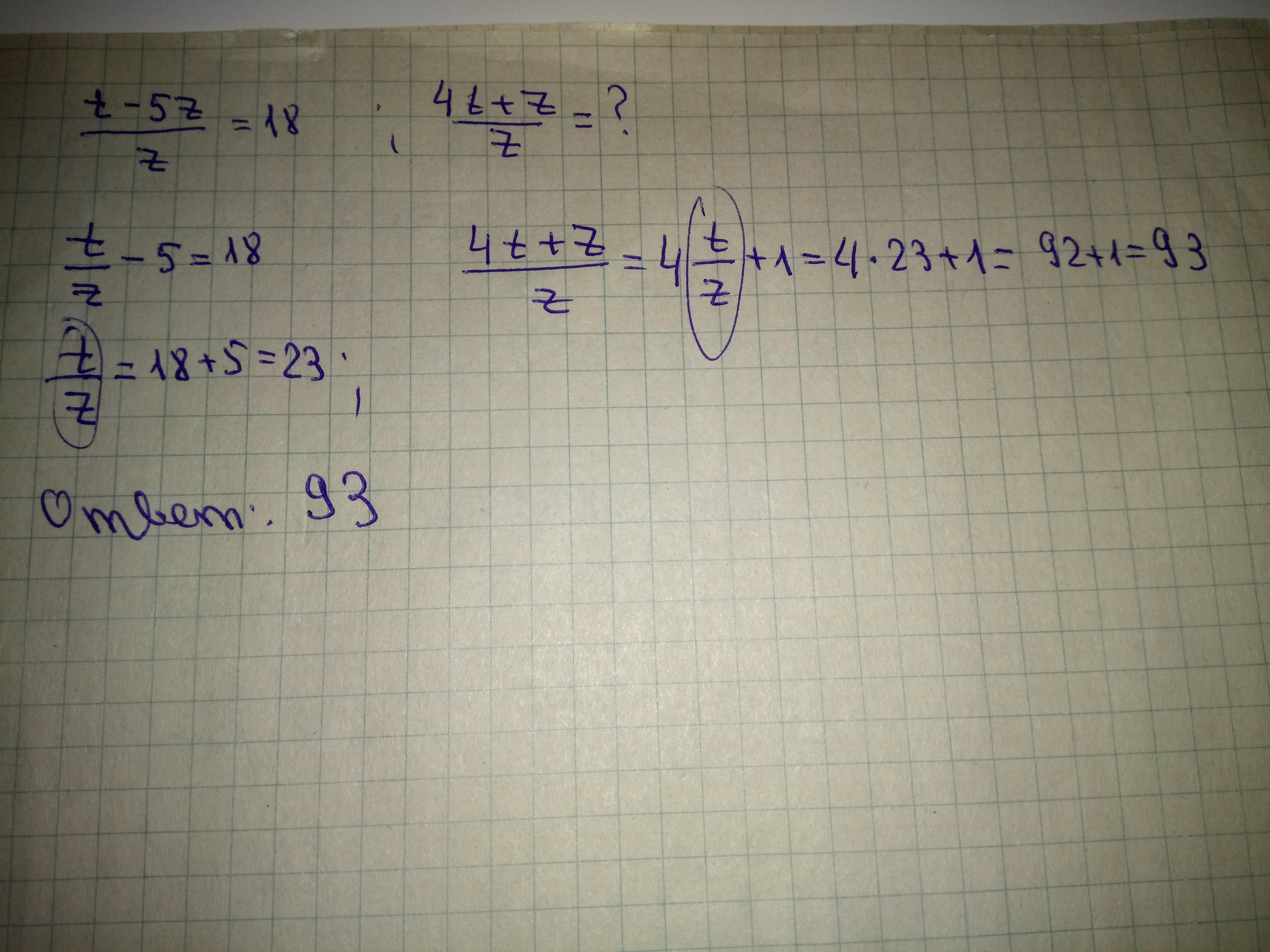
Ответ 93

Решение задания прилагаю

Приложения:
Ответ дал: nikolajcepurnyj244
1

Ответ:

93

Пошаговое объяснение:

рассказывать как думаю не надо


hadjioglovakaleria78: 1)23-5×1/1=18×1/1=18. 2)4×23+1/1=92+1=93
Вас заинтересует