Ответы
Ответ дал:
1
Ответ 1
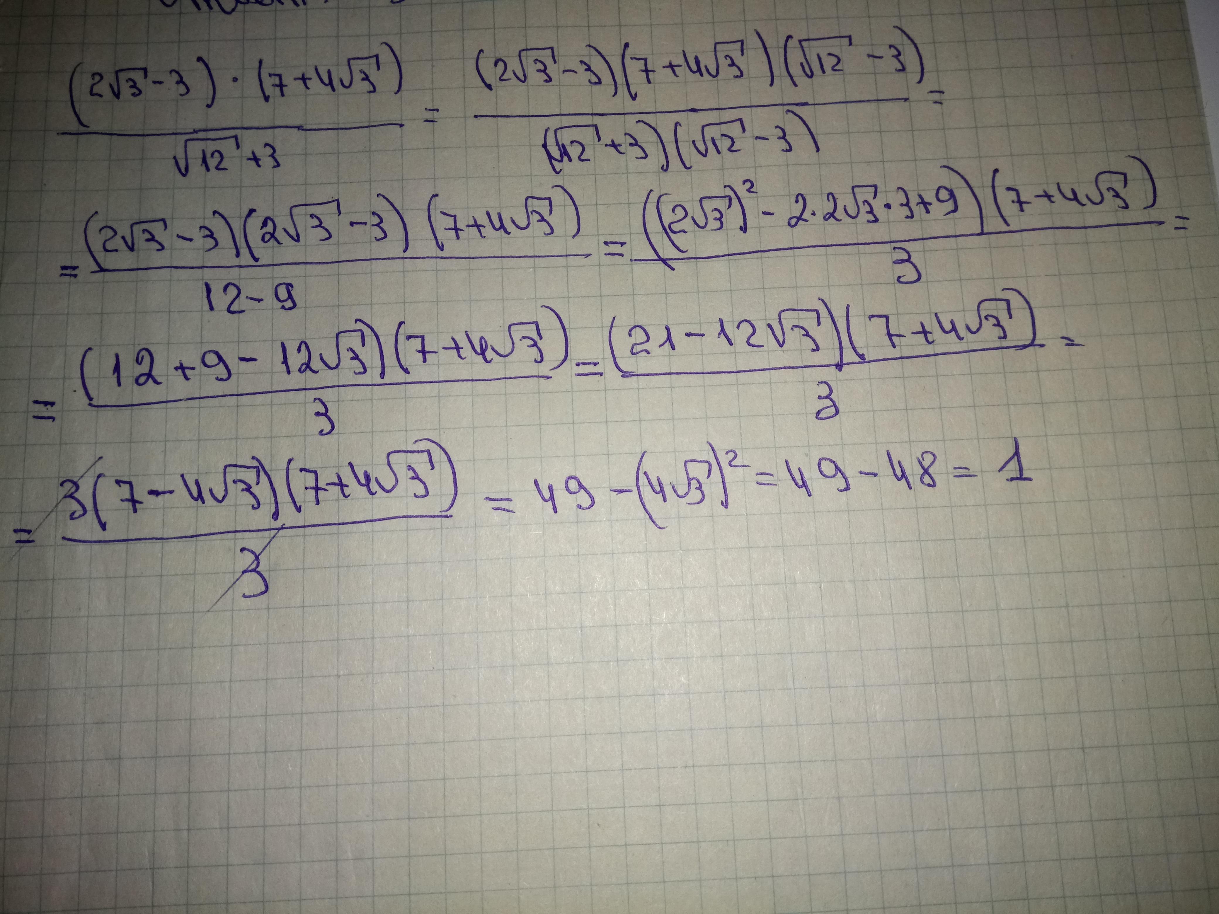
Решение задания прилагаю
Приложения:

Ответ дал:
1
домножаем на сопряженное
a² - b² = (a - b)(a + b)
(a + b)² = a² + 2ab + b²
7 + 4√3 = 4 + 4√3 + 3 = 2² + 2*2*√3 + √3² = (2 + √3)²
√12 + 3 = 2√3 + 3
2√3 - 3 = √3*(2 - √3)
(2√3 - 3)(7 + 4√3)/(√12 + 3) = (2√3 - 3)(2 + √3)²(2√3 - 3)/(2√3 + 3)(2√3 - 3) = √3(2 - √3)(2 + √3)²√3(2 - √3)/((2√3)² - 3²) = 3*((2 - √3)(2 + √3))²/(12 - 9) = 3*(4 - 3)²/3 = 1
Аноним:
помогите пожалуйста
Вас заинтересует
2 года назад
3 года назад
8 лет назад
9 лет назад