• Предмет: Алгебра
  • Автор: morsik21
  • Вопрос задан 8 лет назад

помогите алгебра даю 100 баллов

Приложения:

Ответы

Ответ дал: UluanaV
1

Ответ:

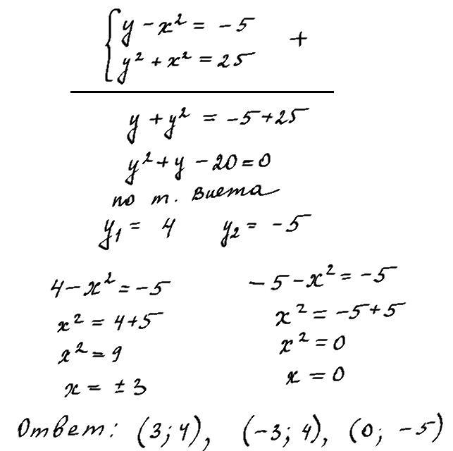
(3;4), (-3; 4), (0; -5)

Объяснение:

Решение на фото.

Приложения:

morsik21: спасибо большое)
morsik21: можете с еще одним помочь? вот ссылка https://znanija.com/task/45794373
Вас заинтересует
3 года назад