• Предмет: Алгебра
  • Автор: Аноним
  • Вопрос задан 8 лет назад

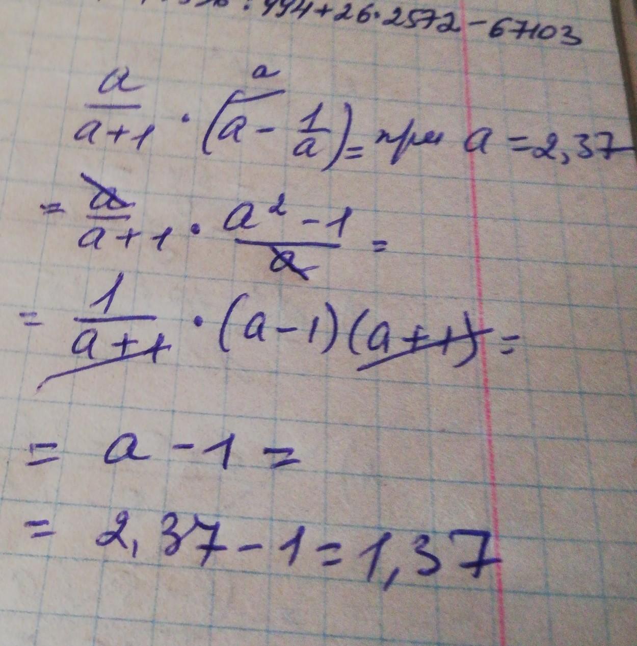
допоможить, Знайти значеня виразу. пжпжжппжжпжпжпжпж ​

Приложения:

Ответы

Ответ дал: larisaserova53
1

Ответ:

Смотри решение на фото ниже

Приложения:

Аноним: спс
Вас заинтересует