• Предмет: Алгебра
  • Автор: float1881
  • Вопрос задан 8 лет назад

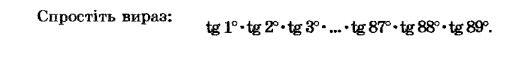
Срочно задание на фото

Приложения:

Ответы

Ответ дал: bahytgulkabylainova
0

Объяснение:

см фото,,,,,,,,,,,,,,,, , ,,,,,,,,,,

Приложения:
Вас заинтересует