• Предмет: Алгебра
  • Автор: Аноним
  • Вопрос задан 8 лет назад

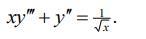
Найти общее решение дифференциального уравнения.

Приложения:

Ответы

Ответ дал: Matematiktm
1

Ответ:

Объяснение:

Задача решено

Приложения:
Вас заинтересует