• Предмет: Алгебра
  • Автор: mishenkodiana74
  • Вопрос задан 8 лет назад

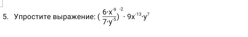
Помогите пожалуйста ​

Приложения:

Ответы

Ответ дал: 165ABr
0

Ответ:

Объяснение:

=(\frac{7y^{-5} }{6x^{-9} } )^{2} *9x^{-13} y^{7} \\\\\frac{49y^{-10} }{36x^{-18} } *9x^{-13} y^{7} \\\\\frac{49y^{-10} }{4} *x^{5} y^{7} \\\frac{49x^{5}y^{7}  }{4} \\\frac{49x^{5} }{4y^{3} }

Вас заинтересует